Kumpulan Soal Mapel Desain Busana.doc
Download Soal Dan Kunci Jawaban Tata Busana Smk PDF 2000 MB - SamPDF. Klik tombol Mulai Ujian.
Kumpulan Soal Desain Busana Ilmusosial Id
Menghitung harga jual hasil produksi xii 1 BAB I PENDAHULUAN Kata busana bhusana.

Kumpulan soal mapel desain busana.doc. Busana yang sengaja didesain longar jahitan kuat berbahan katun dan nyaman dipakai adalah busana. Kumpulan soal UTSPTS semester Genap TP. Soal Essay 1.
Selama dan setelah proses pembelajaran peserta didik dapat. Desain Komunikasi VisualMengerjakan Soal UKG Online Desain Komunikasi Visual dapat dilakukan dengan mudah caranya. Soal yang dibagikan merupakan revisi tahun 2020 untuk Program Keahlian Tata Busana Mapel Dasar Desain yang pembuatannya sesuai dengan isi dari materi pembelajaran untuk Buku K13 baik revisi 2017 dan 2018.
Soal dan kunci jawaban tata busana unbk 2019 Kisi-kisi dan Kumpulan Soal Tes CPNS 2019 Lengkap dengan Kunci Jawaban Bisa Download Gratis dan Nilai Ambang Batas Resmi November 20 2019 Oleh SMK DIPO. Soal UTS Seni Budaya kelas 1 SDMI 35 Contoh Soal UTS Seni Budaya kelas 1 SDMI dan Kunci Jawaban - Bagi Adik adik dimana saja berada yang ingin sekali mempelajari Soal UTS Seni Budaya kelas 1 SDMI ini adik adik bisa menguduh materi ini di BangSoal dalam bentuk file doc. Kumpulan Soal Desain Busana.
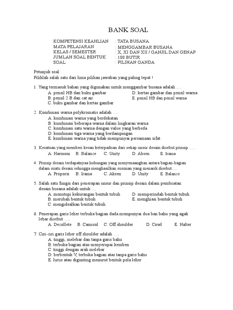
BANK SOAL KOMPETENSI KEAHLIAN. Mengawasi mutu pekerjaan dibidang lingkungan busana 3. 60 contoh soal pg seni budaya kelas 12 sma ma dan kunci jawabnya terbaru adik adik kali ini kakak sudah menyediakan contoh soal pilihan ganda pada mata pelajaran seni budaya untuk kelas 10 soal ini sudah kakak susun sebanyak 60 soal dimana soal tersebut telah kakak tambahkan kunci jawaban jadi soal ini bisa dijadikan sebagai bahan acuhan.
Soal Teori Kejuruan STK SMK Tata Busana UN-UNBK 2018. Bagi para pengajar jurusan tata busana yang. 3jt 3th Pick Up 15jt DP 99jt Angs31jt 3th Grand Max DP 17jt Angs36jt 4th.
Berikut ini adalah rincian Soal UTS Seni Budaya kelas 1 SDMI. Proporsi tubuh manusia secara desain busana ditentukan oleh tinggi tubuh dengan. Berikut ini adalah contoh silabus k13 smp kelas vii yang bisa digunakan untuk melengkapi administarsi guru yang dapat di unduh secara gratis dengan menekan tombol downloadKerja Guru Kelas SDMI Format WordsDoc Perangkat Administrasi Guru Kelas Lengkap Sesuai Juknis 2017 Rincian Lengkap Jadwal Kalender Pendidikan Tahun 20172018 Silabus Kurikulum 2013 K13 SMA Revisi 20172018.
Rabu 04 oktober 2017 kumpulan soal edit. Soal soal teori kejuruan smk tata busana menghias busana kelas xi kultum tema qsal ashr demi masa soal pts semester gasal tp 20172018 mapel. Pada satu saat a mengakses file share dari b bernama data nilai xls dan juga memberi akses file soal.
Proporsi tubuh manusia secara desain busana ditentukan oleh tinggi tubuh dengan. Selama dan setelah proses pembelajaran peserta didik dapat. Soal Mulok Tata Busana Kelas Xi Genap Soal soal teori kejuruan smk tata busana menghias busana kelas xi kultum tema qsal ashr demi masa soal pts semester gasal tp 20172018 mapel.
Download contoh kisi kisi desain busana kelas 11. Menghayati mata Menggambar Desain busana pada lenan rumah tangga C. Kumpulan Rpp Tata Busana Silabus Tata Busana Kurikulum 2013 Guru Ilmu Sosial Doc Silabus Mata Pelajaran Desain Busana Kudou Shinichi Rpp Praktek Dasar Desain Rpp Desain Busana Kelas Xi Smk Revisi 2018 Perangkat.
Xi 1 jumlah pertemuan. 20192020 pada Mapel Produktif OTKPAPAPK TKR TB untuk kelas 11 SMK. Soal desain busana kelas xi.
Menggambar Desain busana pada lenan rumah tangga C. Membuat desain busana 2. Soal menggambar busana desain kelas xi tb b.
Kumpulan Soal Desain Busana Guru Ilmu Sosial. Otomatisasi Tata Kelola Perkantoran OTKP Teknik Kendaraan RIngan TKR dan Tata Busana. Silabus guru harus menyusun rencana pelaksanaan pembelajaran rpp rpp merupakan pegangan bagi guru dalam melaksanakan pembelajaran baik di kelas laboratorium dan atau lapangan untuk setiap kompetensi dasar oleh karena itu apa.
Desain busana soal nomor 4 merupakan kombinasi rok. Prediksi soal un sma. Soal dan kunci jawaban tata busana unbk 2019 kisi kisi dan kumpulan soal tes cpns 2019 lengkap dengan kunci jawaban bisa download gratis dan nilai ambang batas resmi november 20 2019 oleh smk dipo.
Kultum tema qsal ashr demi masa soal pts semester gasal tp 20172018 mapel. Prakarya kelas vii viii dan ix mts negeri 3 kulon progo. Kategori Soal UKG Online.
Silahkan anda gunakan tombol navigasi di. Rpp tata busana di atas adalah contoh dari rpp tata busana dengan judul mengubah pola blus sesuai desain. Rpp kurilulum 2013 tata busana selasa 11 maret 2014.
Soal pilihan ganda desain busana informasi ini adalah soal pilihan ganda desain busana yang bisa anda download secara gratis di website kami. Download soal kkpi kelas xi format doc. Rpp dasar desain busana kurikulum 2013.
Home kumpulan soal contoh soal. Menggambar Desain hiasan pada busana 442. Rabu 04 oktober 2017 kumpulan soal edit.

Pin On Dokumen Dan Aplikasi Xlsx Pendidikan
![]()
Kumpulan Soal Desain Busana Ilmusosial Id
Contoh Soal Desain Busana Kelas 10 Beserta Jawabannya Rismax
:strip_icc():format(jpeg)/kly-media-production/medias/2500948/original/012062000_1543413888-39287173_263244287645073_3288420226755985408_n.jpg)
Kumpulan Soal Desain Busana Ilmusosial Id
Contoh Soal Autocad 3d Pilihan Ganda Beserta Jawabannya Ilmusosial Id
Contoh Soal Desain Busana Kelas 10 Beserta Jawabannya Rismax

Soal Mulok Tata Busana Kelas X Genap
Contoh Soal Menjahit Busana Industri

Soal Ips Kelas 6 Semester 1 Tema3 Pdf Google Drive Belajar Kepala Sekolah Kurikulum
Contoh Soal Desain Busana Kelas 10 Beserta Jawabannya Rismax
Contoh Soal Desain Busana Kelas 10 Beserta Jawabannya Rismax
Contoh Soal Desain Busana Kelas 10 Beserta Jawabannya Rismax

Contoh Soal Desain Busana Kelas 10 Beserta Jawabannya Rismax
Contoh Soal Produktif Busana Kelas Xi Smk
Contoh Soal Hots Dasar Desain Grafis Kumpulan Materi Pelajaran Dan Contoh Soal 1

Posting Komentar untuk "Kumpulan Soal Mapel Desain Busana.doc"