Kumpulan Contoh Soal Cerita Spltv
Artikel ini berisi kumpulan soal cerita berbentuk SPLTV SIstem Persamaan Linear Tiga Variabel lengkap dengan pembahasannya. Contoh soal cerita spltv metode cramer.
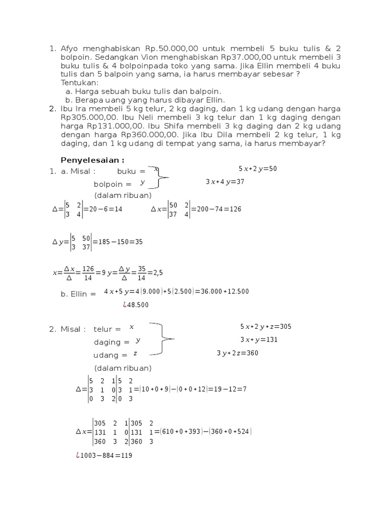
Kumpulan Contoh Soal Contoh Soal Metode Determinan 3 Variabel Cute766
Spltv dan splk yang telah dibahas dalam artikel artikel sebelumnya memegang peranan penting dalam pemecahan masalah tersebut.
Kumpulan contoh soal cerita spltv. Sebuah kios menjual bermacam-macam buah di antaranya jeruk salak dan apel. Artikel ini berisi kumpulan contoh soal cerita yang berkaitan dengan spldv sistem persamaan linear dua variabel spltv sistem persamaan linear tiga variabel dan spkk sistem persamaan kuadrat dan kuadrat dan jawabannya A 2 a 3. Contoh Soal SPLTV dan Jawabannya Untuk lebih memahami tentang sistem persamaan linear tiga variable berikut kami sajikan beberpa contoh soal SPLTV beserta jawaban dan pembahasannya.
Contoh Soal Sistem Persamaan Linear Tiga Variabel SPLTV Seorang YouTuber asal Jepang mendemonstrasikan cara menggunakan kalkulator sebagai instrumen musik. Materi ini sebenarnya merupakan lanjutan dari materi spldv yang sudah dipelajari saat tingkat smp. Kumpulan contoh soal berbagai mata pelajaran seperti matematika ipa ips biologi dan lainya sebagai latihan mengerjakan soal agar dapat hasil yang memuaskan saat ujian.
Contoh soal spltv cerita Kumpulan soal spltv kelas 10 Contoh soal dan pembahasan spltv kelas 10 Syarat spltv Contoh soal spltv brainly Spltv pecahan Skip to content MENU Home Bahasa Bahasa Inggris Biologi Fisika Kimia. Artikel ini berisi kumpulan contoh soal cerita dalam kehidupan sehari-hari yang berbentuk sistem persamaan linar dua variabel SPLDV lengkap dengan pembahasannya. 22 Contoh Soal Cerita Tentang Spltv.
Contoh Soal SPLTV Contoh Soal 1. Determinan adalah suatu. Mari kita pelajari bersama.
Rara memiliki 4 buah apel 8 buah mangga dan 12 buah jeruk. Jambu ninis x lalu mangga y dan jeruk z maka membentuk suatu persamannya yakni 4x 8y 12z. Di dunia bisnis dan keuangan spltv dapat digunakan untuk mendiversifikasi investasi dan penghitungan pinjaman.
Ninis memiliki 4 buah jambu kemudian 8 buah jeruk dan juga 12 buah manggah. YouTube Its a Small World. Contoh Soal Cerita Tentang Matriks Beserta Jawaban.
Modulus biasa dinotasikan sebagai. Kumpulan contoh soal spltv. Kumpulan Contoh Soal Contoh Soal Cerita Spltv Beserta Penyelesaiannya Brainly Contoh soal spldv dan spltv pilihan ganda jawaban oleh anas ilham diposting pada mei 21 2020 agustus 15 2020 contoh soal sistem persamaan linear tiga variabel spltv dan penyelesaian tim kami telah merangkum contoh soal spltv pilihan ganda dan jawaban beserta penyelesaiannya untuk siswa dari.
Berikut ini contoh penerapan spltv dalam keuangan contoh 1. A b kemudian ganti kolom j dengan matrik b. Penyelesaiannya adalah x 1 200 dan y 800.
Contoh soal spltv soal soal spldv sistem persamaan linear dua variabel biasanya berbentuk soal cerita. Gunakan metode cramer untuk menyelesaikan persoalan di bawah ini. Contoh soal dan pembahasan spltv.
Kumpulan Soal Cerita Berbentuk SPLDV dan Pembahasannya Lengkap Blog Matematika. Contoh Soal Cerita SPLTV Yunda mempunyai 4 buah semangka 8 buah mangga dan 12 buah kelingking. Ani membeli 2 kg apel 2 kg anggur dan 1 kg jeruk dengan harga rp 67 000 00.
Contoh Soal SPLDV dan SPLTV Pilihan Ganda Jawaban Oleh Anas Ilham Diposting pada Mei 21 2020 Oktober 20 2020 Contoh Soal Sistem Persamaan Linear Tiga Variabel SPLTV dan SPLDV beserta Penyelesaian Tim kami telah merangkum contoh soal SPLDV dan SPLTV Pilihan Ganda dan Jawaban beserta Penyelesaiannya untuk Siswa dari berbagai penerbit buku yang. X 1 2x 3 6 3x 1 4x 2 6x 3 30 x 1 2x 2 3x 3 8. Apabila dituliskan di dalam bentuk ke persamaan maka hasilnya adalah sebagai berikut.
41 Kumpulan Contoh Soal Cerita Spltv Beserta Penyelesaiannya Matematika Kelas 8 Cara Menyelesaikan Sistem Persamaan Linear Dua Peningkatan Kemampuan Menyelesaikan Soal Cerita Sistem Persamaan. Berikut ini contoh penerapan spltv dalam keuangan contoh 1. Contoh soal cerita dan pembahasan spltv.
Kemudian apabila diubah bentuknya kedalam persamaan maka berapakah hasilnya. Soal cerita spltv menarik sekali untuk teman teman semua yang ingin mendapatkan soal cerita spltv dimana admin soal soal ainamulyana memberikan bocoran soal kepada anda semua.

24 Contoh Soal Cerita Spltv Tentang Umur Kumpulan Contoh Soal
Contoh Dan Jawaban Soal Cerita Spltv Ilmusosial Id

Contoh Soal Cerita Spltv Tentang Umur Dan Penyelesaiannya

Contoh Soal Cerita Spldv Dan Spltv Contoh Soal Terbaru
![]()
Doc Soal Cerita Sistem Persamaan Linear Dua Variabel Spldv Lisda Damayanti Academia Edu
11 Contoh Soal Cerita Spltv Dan Spldv Kumpulan Contoh Soal

21 Contoh Soal Cerita Spltv Perbandingan Kumpulan Contoh Soal

Contoh Soal Cerita Spltv Beserta Penyelesaiannya Brainly

11 Contoh Soal Cerita Spltv Dan Spldv Kumpulan Contoh Soal
Contoh Soal Cerita Spldv Dan Spltv Barisan Contoh
Latihan Soal Spltv Kelas 10 Soal Cerita Download File Guru

Contoh Soal Spltv Dan Pembahasan Guru Galeri
30 Contoh Soal Cerita Mengenai Spltv Kumpulan Contoh Soal
30 Contoh Soal Cerita Mengenai Spltv Kumpulan Contoh Soal

Contoh Soal Spltv Kelas 10 Sma Download File Guru

Contoh Dan Jawaban Soal Cerita Spltv Ilmusosial Id
Mat Peminatan Soal Cerita Spldv Dan Spltv Beserta Penyelesaiannya Riesz R R 23

Contoh Soal Spltv Dan Penyelesaiannya Kelas 10 Dapatkan Contoh

Posting Komentar untuk "Kumpulan Contoh Soal Cerita Spltv"